Lecture Notes for 10/07/99
Paper:   End-to-End Routing Behavior in the Internet [Pax96]


Prof. John Byers

Scribe: Huan

Background Knowledge: AS(Autonomous Systems)
                                             IGP(Interior Gateway Protocol)
                                             BGP(Border Gateway Protocol)
 
(Please see earlier notes for 09/28/99)

Experiment Environment:
     A number of sites,which  run a "network probe  daemon"(NPD) ,were contacted at exponentially-distributed
intervals by local workstations running "NPD-control" program and asked to measure the route to another NPD
site using traceroute.
      Two important properties for independent&exponentially distributed time intervals:
           additive random sampling: unbiased since it samples all instantaneous signal values with equal probability
           PASTA(Poisson Arrivals See Time Averages):the proportion of the measurements that observe a given
                    state is equal to the amount  of time in the same state.
      Problem:According to PASTA, there can't be any anticipaiton for obervation arrivals,but the network can
           anticipate in this environment:if connectivity is lost,it can predict that no measurement will  occur.  So
           there might be some underestimation of the prevalence of connectivity problems.
      Shortcomings inherent to end-to-end measurement: it has the difficulty of compounding   effects at  different
            hops into a single net effect,i.e. ,only showing the fact but not answering why.

Routing  Pathologies:

                      Three types of loops: forwarding  loop; information loop;  traceroute loop,which is the only thpe that can
                                   be observed directly.
                       Two modes:
                                short-lived  loops: those of less than 3 hours
                                long-lived loops or persistent loops: more than  half a day
                       Observations:
                                 1.Loops involving seperate pairs of routers are also clustered in time,since topologically close routers
                                     will often quickly share routing information, which might reflect an outage of larger scope .
                                 2. Loops might involve more than one AS.
                       Routing changes between traceroute:routing connectivity reported earlier became lost or altered later
                    
 

                    Analysis: It might be  that some intermediary routers were rearrangeing their views of topology,either
                          because of a new route becoming    vailable  or  existing route being lost(need more time to recover)

             In the experiment of the paper,they  found that every other packet from some border router travels via a
                different route due to load spliting!
 
 
 

            Problems due to fluttering path: unstability,asymmetry,more difficult for estimation,unnecessary retransmission

 Routing Stability :
       two terms:

                                    predictability.                                     manage   router state and for studies based on repeated path measurements.

        Examples:
                    1 1 1 1 2 1 1 1 1 1 1 2 1 1 1 1             prevalent,but not persistent
                    1 1 1 1 1 1 1 1 1 1 2 2 2 2 2 1 1 1 1    prevalent and persistent

         Persistence for longer time scales and shorter time scales:
                   Because a series of measurements at particular points do not necessarily indicate a lack of change, to
                   accurately  assess persistence requires first determining if routing alternates on short time scales.If not,
                   then the shortly spaced measurements can be used to assess on medium time scales,etc.,and finally on
                   longer time scales.
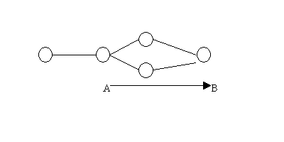
         Tightly-coupled pair routers:
                 It is possible that frequent route changes differing at just a single hop are due to shifting traffic between
                 two tightly coupled routers,then such pairs of routers can be merged into a single router for purposes of
                   assessing of stability since such a change will have  little consequence provided they are co-located.
                    Example of flipping around the intermetiary routers:
 

          Question:How many packets flow the path?
                        per-flow state,queue policy
                           
 

Routing Asymmetry

               city     asymmetry: different cities
               ISP     asymmetry: different ISPs
               *International routing:  more asymmetry than intra-routing                        A want packet to go directly to the boundary to B, not go  through A  when it will have to "pay much"
                           . different  cost metric for both directions
                       .one way delay will not be equal to half of RTT
                       .complicate network measurement&accouting.....